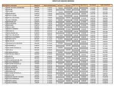
el orden de paso

CIRCUITO COPA-BASE
N
º
1
GIMNASTA
CLUB
Aitana Colón
Puertomar
2
3
Soledad Reinoso
Miriam Ibáñez
Lebrija
Sanluqueño
4
5
Noemí Villalba
Cayetana Palomo
6
7
Carmen García
Nerea Rodríguez
Nevada
Ciudad de
Sevilla
Lebrija
Puerto Real
8
9
Alba Hinestrosa
Carolina Cruz
Sanluqueño
Almendralejo
10 Mariola Vera
11 Loreto Cuevas
Puerto Real
Sanluqueño
12 Leyla Hamzaoui
13 Naia Sánchez
Colombino
Ciudad de
Sevilla
Sanluqueño
Sancti-Petri
14 Aitana López
15 Deyanire Alfaro
16
17
18
19
20
21
22
23
24
Ana Rodríguez
Victoria Gómez
Gema Ramos
Ana Mª González
Laura Morgenstern
Verónica Sousa
Elena Moreno
Samara Román
Sonsoles Ruiz
25
26
27
28
29
30
31
32
33
34
35
Blanca Rodríguez
Ana García
Nora Martín
Marta Hurtado
Manuela Gracia
Rocío Llamas
María Cabrera
Lucía Ortíz
Claudia Sanderson
Natalia Gómez
Felisa Palomo
Sanluqueño
Virka Melilla
Almendralejo
Chipiona
Conil
Virka Melilla
Sanluqueño
Maharana
Polideportivo
Cádiz
Efi Meva
Almendralejo
Séneca
Oso Panda
Sanluqueño
Séneca
Lebrija
Sanluqueño
Efi Meva
Puerto Real
Oso Panda
CATEGO
RIA
Prebenja
mín
Infantil
Prebenja
mín
Infantil
Prebenja
mín
Infantil
Prebenja
mín
Infantil
Prebenja
mín
Infantil
Prebenja
mín
Alevín
Prebenja
mín
Alevín
Prebenja
mín
Alevín
Benjamín
Cadete
Benjamín
Cadete
Benjamín
Cadete
Benjamín
Cadete
APARA
TO
ML
Benjamín
Cadete
Benjamín
Cadete
Infantil
Cadete
Infantil
Cadete
Infantil
Alevín
Benjamín
Pelota
Cinta
Pelota
Cinta
Mazas
Cinta
Mazas
Cinta
Mazas
Pelota
ML
Aro
ML
Aro
ML
Aro
ML
Aro
ML
Aro
ML
Cuerda
ML
Cuerda
ML
Cuerda
Pelota
Cinta
Pelota
Cinta
Pelota
Cinta
Pelota
Cinta
NOT
A
36
37
38
39
40
41
42
43
44
María Rodríguez
Daria Salmerón
Marta Díaz
Nayla Mohamed
Nuria Márquez
Aixa Aguilar
Carmen Velasco
Naroa Mancilla
Luna Sevillano
45
46
47
48
49
50
51
Mercedes Buzón
Adriana Gómez
Lucía Bonhomo
Ana Alba
María Luque
Marta Cordero
Rocío Prieto
52 Celia García
53 Ana Belén Millán
54 Mª Carmen
Romero
55 Alejandra Callejón
56 Anabel Jiménez
57 Loanne Giraud
Sanluqueño
Puertomar
Efi Meva
Virka Melilla
Sanluqueño
San Fernando
Puertomar
Chipiona
Ciudad de
Sevilla
Sanluqueño
Sanluqueño
Efi Meva
Conil
El Cuervo
Sanluqueño
Almodóvar del
Río
Efi Meva
Sanluqueño
El Cuervo
Alevín
Benjamín
Alevín
Benjamín
Alevín
Benjamín
Alevín
Benjamín
Alevín
Pelota
ML
Pelota
ML
Pelota
ML
Pelota
ML
Pelota
Cadete
Alevín
Cadete
Cadete
Cadete
Cadete
Cadete
Pelota
Pelota
Pelota
Aro
Pelota
Aro
Pelota
Cadete
Cadete
Cadete
Aro
Pelota
Aro
Málaga
Sanluqueño
Conil
Cadete
Cadete
Cadete
Pelota
Aro
Pelota
APARA
TO
Pelota
Mazas
Pelota
Mazas
Pelota
Mazas
Pelota
Mazas
Pelota
Mazas
Pelota
Mazas
ML
DESCANSO DE 15 MINUTOS
CIRCUITO A
N
º
1
2
3
4
5
6
7
8
9
10
11
12
13
GIMNASTA
CLUB
Laura Buzón
Nerea Limón
Nerea López
Marta Cañete
Iside Lucía
Montalvo
Marina García
Elisabeth Molina
Eva Alba
Paula Puentes
Inmaculada López
Ainhoa Espinar
María Curbelo
Marta Fernández
Maharana
Huelva
Sanluqueño
Granada
Marbella
CATEGO
RÍA
Alevín
Junior
Alevín
Junior
Alevín
Jerez
Sanluqueño
Chiclana
Granada
Sanluqueño
Séneca
San Fernando
Huelva
Junior
Alevín
Junior
Alevín
Junior
Alevín
Junior
Benjamín
NOT
A
14
15
16
17
18
19
20
21
22
23
24
25
26
27
28
29
30
31
32
33
34
35
Marta García
Gloria Rodríguez
María Jiménez
Claudia Díaz
Natalia Rodríguez
Yulia Vysotska
Noelia Segura
Celia Oliva
Lucía Xiao Yan
Mª Elisabeth Leiva
Ángela Robles
Carmen Alillo
Mireya Valle
Mª Jesús Cabo
Lara Muñoz
Ángela Maestre
Bárbara Fernández
Yolanda Rodríguez
Mireya Marín
Olivia Pradal
Ángela Reinoso
Ana Beardo
36 Sonia Bejarano
37 Ángela Mª Dorado
38
39
40
41
42
43
44
45
46
Marta Bailón
Irina Kuzyshyn
Adriana Rojas
Nerea López
María Molina
Asha Mía Hamudir
Carolina Martín
María Martos
Carmen Mengual
47
48
49
50
51
52
53
54
55
56
57
Mª del Mar García
Sara Muñoz
Paula García
Olivia Pradal
Yolanda Rodríguez
Noelia Infante
Laura Belmonte
Inmaculada López
Lourdes Periñán
Carlota Gutierrez
Inmaculada
Montaño
Nevada
Chiclana
El Ejido
Aldetor
Sanluqueño
Miralmar
Miralmar
San Fernando
San Fernando
Miralmar
Colombino
Huelva
Aldetor
Virka Melilla
Málaga
Dos Hermanas
Maharana
Sanluqueño
Sancti-Petri
Virka Melilla
Lebrija
Polideportivo
Cádiz
El Cuervo
Almodóvar del
Río
Miralmar
El Ejido
Granada
Sanluqueño
El Ejido
Marbella
Málaga
Dos Hermanas
Almodóvar del
Río
El Ejido
Colombino
Aldetor
Virka Melilla
Sanluqueño
Marbella
Oso Panda
Sanluqueño
Chiclana
Jerez
Dos Hermanas
Junior
Benjamín
Alevín
Benjamín
Alevín
Benjamín
Alevín
Benjamín
Infantil
Benjamín
Infantil
Junior
Infantil
Junior
Infantil
Junior
Infantil
Junior
Infantil
Junior
Infantil
Alevín
Mazas
ML
Mazas
ML
Mazas
ML
Mazas
ML
Pelota
ML
Pelota
Cuerda
Pelota
Cuerda
Pelota
Cuerda
Pelota
Cuerda
Pelota
Cuerda
Pelota
Aro
Infantil
Alevín
Pelota
Aro
Infantil
Alevín
Junior
Alevín
Junior
Junior
Junior
Junior
Junior
Pelota
Aro
Aro
Aro
Aro
Pelota
Aro
Pelota
Aro
Junior
Junior
Junior
Junior
Junior
Junior
Junior
Junior
Senior
Junior
Senior
Pelota
Aro
Pelota
Aro
Pelota
Aro
Pelota
Aro
Cinta
Aro
Cinta
58
59
60
61
62
63
64
65
Claudia Morales
Marta Albarracín
Elisabeth Molina
Valeria Zimina
Manuel Ligero
Carmen García
Natalia Rodríguez
Irene Pardo
66 Claudia Jaimez
67 Carla Quirantes
68 Elena Villaça
Miralmar
Virka Melilla
Sanluqueño
Marbella
Sancti-Petri
Dos Herrmanas
Sanluqueño
Ciudad de
Sevilla
Polideportivo
Cádiz
Nevada
Jerez
Alevín
Senior
Alevín
Senior
Alevín
Senior
Alevín
Senior
ML
Cinta
ML
Cinta
ML
Cinta
ML
Cinta
Alevín
ML
Senior
Senior
Cinta
Cinta