Trapecio pdf free - PDF eBooks Free | Page 1

Resultados DUE2014
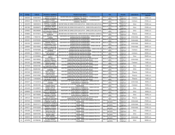
90K - Damas Máster A (1975 a 1984)
Lugar
N°
1
2
3
4
5
6
7
8
9
10
11
12
13
14
15
16
17
18
19
20
21
22
23
24
9002
9570
9583
9564
9576
9577
9579
9589
9586
9582
9580
9568
9574
9588
9575
9590
9560
9565
9561
9571
9566
9567
9559
9587
Nombre Corredor
Tiempo
Macarena Acuña
Catalina Flaño
Verónica Beatriz Pérez Magdalena
Daniella Bunzli
Paulina Laurido
María Paz Lizama
Tannia Mansilla
Paula Viertel
Carolina Ruz
Ana Clara Nanni
Fanisa Miño
Ingrid Díaz Torres
Mariela Herrera
Carolina Vicuña
Miriam Jiménez
Patricia Villacura
Patricia Álvarez
Karla Bustos Torres
Iris Avendaño
Patricia González
Viviana Cabezas Carrasco
Carolina Cornejo
Soledad Aguirre
Andrea Terrazas
3:26:05.5
3:45:41.0
3:46:17.0
3:47:44.2
4:00:12.4
4:00:32.7
4:00:42.5
4:01:36.1
4:08:33.4
4:08:36.0
4:15:59.7
4:19:53.2
4:28:57.2
4:30:16.2
4:34:37.5
4:38:19.7
4:54:54.0
4:57:11.4
5:03:55.6
5:27:19.7
5:33:32.8
6:24:08.0
6:26:18.0
6:28:45.0
Clasificación Clasificación
General
Género
25
3
71
7
74
9
80
10
128
12
129
13
131
14
137
15
163
17
164
18
201
20
215
22
241
25
254
26
266
27
281
28
329
31
340
32
361
34
415
40
429
41
470
46
476
48
481
49
90K - Damas Máster B (1965 a 1974)
Lugar
N°
1
2
3
4
5
6
7
8
9
9596
9591
9593
9597
9598
9594
9600
9601
9599
Nombre Corredor
Tiempo
María Elena Leiva Martínez
Ninoska Bahamóndez González
Filomena Durante Costas
María Elena Mena Roa
Valeria Padilla
Miriam Ibaceta Saldaña
Consuelo Vergara Méndez
Francisca Vicuña
Rosa Ruíz Torres
3:45:04.6
4:27:29.1
4:50:19.8
5:09:38.6
5:11:33.3
5:16:01.9
5:51:51.2
5:59:44.0
6:25:17.0
Clasificación Clasificación
General
Género
67
6
235
24
316
30
373
35
382
36
396
37
448
44
451
45
474
47
90K - Damas Máster C (1955 a 1964)
Lugar
N°
1
2
Nombre Corredor
9603 Silvana Camelio Thomsen
9604 Mary Ann Chamberlain
Tiempo
4:24:14.7
5:24:45.9
Clasificación Clasificación
General
Género
229
23
411
39
90K - Damas Open (1994 y anteriores)
Lugar
N°
1
2
3
4
5
6
7
8
9
9548
9551
9544
9556
9553
9549
9547
9550
9557
Nombre Corredor
Tiempo
Elisa García Jaramillo
Florencia Marinovic Martorell
Francisca Linoska Campos Salas
Valentina Requesens Aldea
Ángela Nieva
Camila Hollmann
Fernanda Flaño
Ariela Mansilla
Viviana Sáez
3:18:09.2
3:23:20.6
3:38:43.1
3:44:26.5
3:46:04.8
4:00:09.5
4:05:50.1
4:10:46.9
4:16:21.1
Clasificación Clasificación
General
Género
14
1
23
2
47
4
64
5
73
8
127
11
149
16
173
19
203
21
Resultados DUE2014
10
11
12
13
14
9545
9552
9543
9546
9558
Andrea Canales
Natalia Muñoz
Carolina Biehl Peñafiel
Soledad Beatriz Fernández Bastias
Valeska Sobarzo Mansilla
4:48:38.3
5:02:36.7
5:19:23.6
5:38:57.8
5:46:40.7
310
358
404
439
444
29
33
38
42
43
90K - Varones Junior (1996 a 1997)
Lugar
N°
1
2
3
4
5
6
9125
9121
9126
9123
9122
9128
Nombre Corredor
Tiempo
Deny Portilla
Nicolás Botten Quediman
Daniel Rodríguez
Andrés Cárdenas Manríquez
Nicolás Campisano
Williams Rogers Catalán
3:45:06.6
3:54:19.3
4:11:36.0
5:07:35.5
5:33:51.4
5:29:23.0
Clasificación Clasificación
General
Género
70
64
104
94
179
160
368
334
421
381
431
390
90K - Varones Open (1991 y anteriores)
Lugar
1
2
3
4
5
6
7
8
9
10
11
12
13
14
15
16
17
18
19
20
21
22
23
24
25
26
27
28
29
30
31
32
33
34
35
36
37
38
39
N°
9009
9081
9642
9008
9079
9036
9090
9032
9091
9105
9039
9007
9047
9068
9092
9089
9099
9072
9049
9020
9041
9022
9040
9060
9010
9100
9023
9078
9042
9088
9055
9076
9066
9080
9018
9021
9033
9024
9011
Nombre Corredor
Tiempo
Eyair Astudillo Gallardo
Claus Plaut Guzmán
Diego Díaz
Claudio Arancibia Arenas
Cristian Pérez Adasme
Jaime Delgado
Juan Pablo Romero
Gustavo Cosio
Gonzalo Iván Saavedra Eguiluz
Stjepan Vrsalovic
Diego Sebastián Ernaga Fernández
Nehuen Anderfuhrn
Cristian González
Fabián Muñoz
Cristóbal Saavedra Eguiluz
Bryan Jesús Riquelme Zepeda
Ángel Hinojosa Urrutia
Héctor Novajas
Nicolás González Padilla
Luís Carrasco Velásquez
Néstor Fredes
Felipe Carvajal Riquelme
Carlos Farías
Eliseo Mansilla
Luís Federico Ávila
Gabriel Ignacio Valenzuela Leonicio
Héctor Castillo
Erick Ortiz Landaeta
Antonio Fuentealba Caro
Felipe Ignacio Riffo Díaz
Heinsrich Liebsch Fernández
Nelson Ormeño
Rodrigo Antonio Mora Cisternas
Víctor Pino Lara
Rodolfo Burgos Cortessi
Eric Carvajal Morales
Fernando Cristaldo
Andrés Castillo Ruíz
Christian Bahamonde
3:00:04.1
3:01:27.1
3:02:55.2
3:32:06.7
3:32:50.5
3:33:09.8
3:34:07.8
3:36:51.4
3:38:36.8
3:39:12.8
3:42:21.3
3:43:14.1
3:44:02.2
3:44:16.3
3:44:22.5
3:45:06.2
3:45:06.3
3:46:17.6
3:47:15.3
3:47:34.6
3:49:19.5
3:51:31.7
3:52:04.5
3:52:23.3
3:53:19.7
3:53:42.0
3:53:46.7
4:00:43.0
4:04:25.9
4:07:07.7
4:09:07.1
4:10:35.9
4:11:06.7
4:11:10.0
4:11:13.4
4:14:47.3
4:15:44.6
4:17:00.4
4:17:02.7
Clasificación
General
1
3
4
35
36
37
38
44
46
48
53
55
59
61
63
68
69
75
78
79
84
90
92
95
98
100
101
132
144
158
166
171
175
176
177
192
200
206
207
Clasificación
Género
1
3
4
32
33
34
35
41
43
44
49
51
55
57
59
62
63
66
69
70
74
80
82
85
88
90
91
118
129
142
148
153
156
157
158
173
181
185
186
Resultados DUE2014
40
41
42
43
44
45
46
47
48
49
50
51
52
53
54
55
56
57
58
59
60
61
62
63
64
65
66
67
68
69
70
71
72
73
74
75
76
77
78
79
80
81
82
9082
9044
9064
9037
9101
9065
9052
9106
9057
9015
9030
9019
9075
9031
9102
9074
9035
9005
9006
9012
9058
9027
9029
9095
9061
9017
9051
9087
9096
9034
9003
9104
9071
9059
9038
9086
9077
9062
9069
9014
9050
9045
9070
Jorge Prieto
Ricardo Adolfo Garrido Peñailillo
Sebastián Millao
Diego Díaz Salas
Camilo Valles Varela
Juan Manuel Monge Aranda
Sergio Inostroza Cáceres
Rodrigo Zapata
Ángel Facundo Luna
Lorcan Becerra Pérez
Daniel Contreras Plaza
Jorge Cano
Gonzalo Opazo
Rodrigo Cortés
Nicolás Vargas Aros
Pablo Olivares Castillo
Carlos De Los Santos
Francisco Javier Alcayaga Vidal
Andrés Aldana
Claudio Balaguer
Guillermo Maldonado
Pablo Cifuentes
Álvaro Contreras
José Torres
José Miguel Francisco Martínez
Jaime Bunzli Rojas
Pablo Hernández
Eugenio Ribba Thormann
Óscar Tranamil
Pablo César Cubillos Riveros
Fabián Acuña
Raúl Gustavo Villegas Tecas
Raúl Norambuena
Roberto Manríquez
Francisco Duque
Óscar Reyes
José Alejandro Orrego Montecinos
Pablo Martínez Díaz
Felipe Mussa
Mauricio Barril
Rodrigo González Torres
Segio Gómez
Cristian Nilo
4:18:53.2
4:20:16.2
4:22:18.7
4:26:32.6
4:28:33.0
4:29:51.0
4:30:19.5
4:30:57.1
4:37:42.9
4:37:57.7
4:38:10.6
4:39:29.3
4:42:52.9
4:44:30.7
4:46:39.2
4:49:21.6
4:49:46.7
4:51:11.8
4:53:46.0
4:54:17.8
4:55:12.3
4:56:02.1
4:58:45.7
4:58:49.8
5:05:13.3
5:11:07.7
5:12:37.9
5:12:40.3
5:13:44.4
5:14:50.7
5:18:27.0
5:28:18.6
5:31:44.1
5:33:06.6
5:41:52.6
6:02:00.0
6:04:55.0
6:19:35.0
6:26:58.0
6:27:40.0
6:28:50.0
6:32:38.0
6:37:05.0
211
217
224
232
238
249
255
256
273
275
279
283
293
300
308
312
314
319
324
326
331
337
344
345
365
379
386
388
389
391
401
416
426
427
442
456
461
468
478
479
482
485
487
190
195
202
209
214
224
229
230
246
248
252
255
265
272
280
283
285
289
294
296
300
306
312
313
331
344
350
352
353
355
364
376
386
387
400
411
416
423
430
431
433
436
438
90K - Varones Sub23 (1992 a 1995)
Lugar
1
2
3
4
5
6
7
8
9
10
11
N°
9114
9107
9116
9117
9110
9118
9424
9119
9108
9109
9111
Nombre Corredor
Tiempo
Sebastián Miranda
Diego Ávila Domínguez
Marcelo Rojas Romero
Gustavo Nicolás Santana
Pedro Chelech Del Estal
Julio Torres
Diego Caro
Keitel Torres
Sebastián Balaguer
Javier Antonio Castillo Vergara
Javier Collao Dietert
3:10:49.1
3:18:54.8
3:24:23.9
3:30:22.0
3:52:18.1
4:38:02.6
4:45:29.3
4:47:30.3
4:50:58.4
4:55:34.8
5:09:47.1
Clasificación
General
7
18
24
31
93
278
305
309
318
334
374
Clasificación
Género
7
17
22
28
83
251
277
281
288
303
339
Resultados DUE2014
90K - Varones Máster A1 (1980 a 1984)
Lugar
1
2
3
4
5
6
7
8
9
10
11
12
13
14
15
16
17
18
19
20
21
22
23
24
25
26
27
28
29
30
31
32
33
34
35
36
37
38
39
40
41
42
43
44
45
46
47
48
49
50
51
52
53
54
55
56
N°
9171
9189
9168
9133
9196
9181
9169
9195
9214
9138
9135
9173
9194
9176
9215
9148
9134
9163
9207
9142
9639
9203
9206
9151
9165
9162
9183
9132
9172
9129
9140
9182
9161
9152
9211
9198
9185
9139
9213
9136
9175
9143
9180
9199
9164
9210
9193
9160
9186
9218
9145
9192
9146
9222
9155
9209
Nombre Corredor
Tiempo
Francisco González
Pablo Mizgier
Rolando Garay
Patricio Alfaro Piceros
Mauricio Javier Núñez
Cristóbal Jiménez
Nicolás Giammarino
Rodrigo Núñez
Juan Andrés Soto Oyarzún
Carlos Aros Jerez
Víctor Andrade Torres
Carlos Andrés González Araya
Rodrigo Navarrete Soto
Felipe Hevia Larraín
José Esteban Toledo Maya
Rubén Bascuñán Riveros
Israel Andrade Avendaño
Samuel De La Sotta
Edward Ríos
Guillermo Bahamonde Mancilla
Diego Fernando Flores
Sergio Pinto
Eduardo Retamales
Daniel Alejandro Bravo Sandoval
Rodrigo Alejandro Fernández Reyes
Felipe Crisóstomo Tapia
Sgober Lanyon
Juan Alarcón
Rodrigo González Alcaíno
Nicolás Aguilar Farías
Hans Alejandro Arteaga Moya
Daniel Lagos
Víctor Contreras
Reiner Burgos Chandía
Miguel Ángel Sánchez Hidalgo
Ismael Ortega Navarrete
Guillermo Malzahn
Felipe Aros Martínez
Bartolomé Sepúlveda
Augusto Araya
Roberto Wladimir Gutiérrez Paillan
Giuseppe Barindelli
Leonardo Andrés Jayo Torres
José Miguel Parraguez Fontalba
Patricio Farías Álvarez
José Sales
Gabriel Muñoz Tamayo
Juan Chaparro
Juan Mariñan
Ricardo Valdivia
Mauricio Guerrero S.
César Muñoz
Érico Barrientos Castro
Juan Francisco Javier Zúñiga Irazabal
David Castro
Gonzalo Saieg Maggi
3:08:24.9
3:13:41.4
3:13:41.6
3:17:06.3
3:17:39.5
3:18:38.9
3:20:02.6
3:22:39.5
3:28:23.7
3:31:23.1
3:31:34.2
3:34:07.9
3:34:49.1
3:38:33.9
3:43:15.2
3:46:32.3
3:46:57.5
3:50:35.3
3:54:16.4
3:54:29.3
3:58:14.2
3:59:40.2
3:59:50.2
4:00:01.0
4:01:05.7
4:02:01.6
4:02:38.5
4:02:52.0
4:04:26.3
4:04:35.0
4:08:08.0
4:08:18.7
4:10:46.8
4:12:52.6
4:13:35.5
4:14:43.5
4:15:31.9
4:16:55.1
4:19:14.4
4:22:22.7
4:27:21.8
4:29:09.0
4:29:26.3
4:29:26.9
4:40:14.1
4:41:12.1
4:42:22.1
4:42:23.4
4:43:18.6
4:53:12.2
4:55:01.1
4:56:25.0
4:57:19.2
4:59:45.6
4:59:49.8
5:08:28.2
Clasificación
General
6
8
9
11
12
15
19
20
30
33
34
39
42
45
56
76
77
89
103
105
117
122
124
126
134
140
142
143
145
146
159
160
172
184
187
189
198
205
213
225
234
245
246
247
285
286
290
291
294
323
330
338
341
349
350
371
Clasificación
Género
6
8
9
11
12
14
18
19
27
30
31
36
39
42
52
67
68
79
93
95
107
112
114
116
120
125
127
128
130
131
143
144
154
165
168
170
179
184
192
203
211
220
221
222
257
258
262
263
266
293
299
307
309
317
318
337
Resultados DUE2014
57
58
59
60
61
62
63
64
65
66
67
68
69
70
9212
9216
9191
9157
9147
9159
9177
9137
9179
9158
9156
9200
9201
9154
Francisco Javier Santana
Óscar Hernán Torres Céspedes
Carlos Moraga Vergara
Roberto Cereño
Felipe Barriga Álvarez
Patricio Chaparro
Carlos Hook
Claudio Andrés Arenas González
Cristian Jayo
David Ignacio Chandía Valenzuela
Rafael Humberto Catalán Pavez
Mauricio Pérez Barra
Eduardo Alfonso Pérez Salazar
Francisco Castillo Aguirre
5:12:38.8
5:15:18.6
5:16:18.1
5:16:29.3
5:17:49.8
5:19:54.0
5:27:08.0
5:28:36.5
5:35:46.7
5:37:58.3
5:55:18.0
6:07:15.0
6:32:36.0
6:36:06.0
387
393
397
398
399
408
414
417
433
436
450
464
484
486
351
357
360
361
362
370
375
377
392
395
406
419
435
437
90K - Varones Máster A2 (1975 a 1979)
Lugar
1
2
3
4
5
6
7
8
9
10
11
12
13
14
15
16
17
18
19
20
21
22
23
24
25
26
27
28
29
30
31
32
33
34
35
36
37
38
39
40
41
N°
9303
9285
9265
9292
9224
9254
9234
9300
9230
9297
9317
9257
9244
9287
9311
9313
9269
9225
9264
9281
9272
9304
9278
9235
9293
9242
9291
9294
9266
9232
9223
9263
9276
9312
9252
9289
9314
9274
9238
9241
9229
Nombre Corredor
Tiempo
Francisco Rojas Torres
Francisco Olmos
Danilo Jordan
Rodrigo Palomino Vallejos
Darío Aguilar Cofré
Cristian Alejandro Flores Pineda
Héctor Jorge Avendaño Hille
Mauricio Javier Quinteros Orellana
Marcelo Arzola
Javier Podwiazny
Cristian Vidal
Víctor Gárate
Julio Carrasco Leiva
Juan Esteban Ortiz
Fabián Eduardo Toro Sierra
Ricardo Urrutia
Juan Pablo Livacic
Alonso Ahrens
Martín Eduardo Jastrzebski
Patricio Javier Muñoz Salgado
Pablo Mallimo
Francisco Rosales
Juan Carlos Muñoz Olivares
Edgardo Azócar Jaramillo
Eugenio Parra
José Cáceres Carnot
Víctor Painequir
Héctor Omar Parra
Rodrigo Jordan Marín
Pancho Asenjo
Jaime Águila
Rodrigo Herrera
Pablo Millanir Zamora
Ricardo Truffello
Luís Fica Gerbier
Rodrigo Oyarzo
Manuel Vargas Sepúlveda
Leonardo Favio Mansilla
Tomás Betteley Barros
Jaime Bustos Seguel
Alberto Arriado
3:01:10.3
3:16:26.4
3:17:59.8
3:18:51.3
3:23:18.8
3:26:58.9
3:28:16.6
3:28:16.9
3:30:49.4
3:34:08.0
3:35:04.0
3:41:15.7
3:43:42.1
3:43:56.9
3:47:48.9
3:52:21.4
3:52:56.4
3:53:09.4
3:53:51.8
3:54:36.1
3:55:03.6
3:55:45.0
3:56:50.5
3:58:08.2
4:00:32.9
4:01:52.5
4:04:44.4
4:05:55.4
4:06:19.8
4:06:29.2
4:07:01.3
4:08:30.8
4:08:40.0
4:09:43.6
4:11:02.3
4:11:21.5
4:12:02.6
4:12:03.5
4:13:05.0
4:14:51.4
4:15:23.0
Clasificación
General
2
10
13
17
22
26
28
29
32
40
43
52
57
58
82
94
96
97
102
106
107
110
111
116
130
139
147
150
151
153
157
161
165
167
174
178
182
183
185
194
196
Clasificación
Género
2
10
13
16
21
23
25
26
29
37
40
48
53
54
72
84
86
87
92
96
97
100
101
106
117
124
132
134
135
137
141
145
147
149
155
159
163
164
166
175
177
Resultados DUE2014
42
43
44
45
46
47
48
49
50
51
52
53
54
55
56
57
58
59
60
61
62
63
64
65
66
67
68
69
70
71
72
73
74
75
76
77
78
79
80
81
82
83
9239
9261
9262
9295
9260
9231
9290
9273
9249
9243
9256
9298
9315
9301
9279
9240
9584
9306
9251
9646
9309
9319
9270
9250
9307
9253
9284
9296
9237
9227
9280
9226
9267
9245
9606
9275
9330
9299
9246
9308
9259
9233
Francisco Bovo
Juan Hermosilla
José Hernández Torres
José Julián Parra Varas
Alejandro Guzmán
Fernando Luís Asencio Candia
Danilo Pacheco
Andrés Manosalva
Bessie Andrés Córdova Albayay
Óscar Hugo Caro Linco
Carlos Alberto Fuenzalida Espinoza
Ricardo Pruneda
Mauricio Vega Morgado
Manuel Quiroga
Rodrigo Muñoz Ortuzar
Marcelo Bustos Seguel
Nelson Andrés Madrid Correa
Felipe Sahli
Jaime Escobar
Luís González Alcalde
Luís Silva
Jonathan Zapata
Francisco Lívacic
Ricardo Martín Di Pietro
Juan Salamanca Alarcón
Edgardo Flores Castillo
Víctor Núñez
Jacob Paz
Luís Barrientos López
Marcelo Alvarado Maldonado
Héctor Muñoz Pasmiño
Francisco Albornoz Labrín
Arturo Le Blanc
José Luís Carrasco Sáez
Rodrigo Cárdenas
Sergio Marambio
Rafael Marambio
Ignacio Quijada
Igor Carrazana Rodríguez
Alonso Andrés Seguel Solís
José Luís Gutiérrez Paillán
Eduardo Alexis Avendaño Contreras
4:20:39.2
4:21:15.4
4:25:01.8
4:25:37.9
4:28:57.3
4:29:04.3
4:29:55.2
4:33:33.5
4:35:25.5
4:35:59.9
4:37:15.9
4:37:21.4
4:39:19.7
4:40:05.5
4:42:42.8
4:43:48.0
4:44:11.8
4:44:59.0
4:45:04.1
4:45:58.7
4:49:39.8
4:50:57.7
4:52:15.7
4:55:30.2
5:01:27.0
5:01:50.4
5:02:30.9
5:05:39.7
5:10:44.8
5:10:55.3
5:18:43.8
5:18:58.3
5:28:49.1
5:30:33.4
5:41:38.7
6:00:43.0
6:03:17.0
6:04:56.0
6:09:51.0
6:28:20.0
6:32:35.0
6:46:30.0
219
221
230
231
242
243
250
261
267
269
271
272
282
284
292
295
296
302
303
306
313
317
320
333
351
352
355
366
375
377
402
403
419
424
441
453
458
462
465
480
483
490
197
199
207
208
217
218
225
235
240
242
244
245
254
256
264
267
268
274
275
278
284
287
290
302
319
320
323
332
340
342
365
366
379
384
399
408
413
417
420
432
434
441
90K - Varones Máster B1 (1970 a 1974)
Lugar
1
2
3
4
5
6
7
8
9
10
11
12
13
N°
9384
9327
9322
9358
9339
9375
9323
9348
9344
9320
9390
9350
9359
Nombre Corredor
Tiempo
Rodrigo Salazar
Claudio Botten Concha
César Arzola
Julio Marín
Juan Fco. Godoy Hernández
Horacio Pérez Munzenmayer
Carlos Astorga Ruth
Eduardo Igor Palma
Manuel Hernández
Luís Humberto Águila
Alfonso Verschae
Samuel Jara Gatica
Cristian Martínez
3:03:01.5
3:18:51.2
3:34:22.2
3:43:08.3
3:44:08.0
3:44:27.0
3:49:32.7
3:50:09.9
3:51:38.6
3:53:22.7
3:55:12.2
3:58:48.3
3:59:13.5
Clasificación
General
5
16
41
54
60
65
85
87
91
99
109
119
120
Clasificación
Género
5
15
38
50
56
60
75
77
81
89
99
109
110
Resultados DUE2014
14
15
16
17
18
19
20
21
22
23
24
25
26
27
28
29
30
31
32
33
34
35
36
37
38
39
40
41
42
43
44
45
46
47
48
49
50
51
52
53
54
55
56
57
58
59
60
61
62
63
64
65
66
67
68
69
9366
9369
9342
9367
9372
9343
9340
9356
9374
9393
9382
9351
9357
9347
9389
9345
9370
9361
9376
9391
9346
9336
9387
9365
9360
9326
9386
9321
9371
9338
9362
9325
9349
9385
9355
9392
9364
9335
9328
9286
9093
9337
9378
9354
9377
9373
9368
9380
9383
9332
9352
9379
9331
9334
9388
9381
Eduardo Edison Oconnell
Máximo Oyarzún
Ricardo González Casanova
Roberto Ojeda
Nelson Pavicic
Gabriel Alejandro Gutiérrez Gallardo
Rodrigo González
Joel Enrique López Núñez
Cristian Pérez Henríquez
Mauricio Ricardo Yáñez Nancuante
Pascal Rosales
César Jara Muñoz
Gian Mario Margoni Altamirano
Patricio Agustín Lacaruso
Paul Urrutia
Claudio Herrera
Pablo Paredes Isla
Carlos Moreno
David Rodrigo Pérez Pantoja
Roberto Vilches
Raúl Marcelo Hidalgo Bórquez
Jorge Escobar Sáez
Daniel Sánchez Padilla
Baldovino Javier Navarro Maldonado
Felipe Morales Beuster
Mauricio Beck
Juan Pablo Silva
Héctor Albornoz
Cristian Pastorini
Christian García Chacón
Manuel Muñoz
Marcelo Barrios
Ramón Ernesto Jara
Fernando Daniel Sevillano
Chris Linden
Marcelo Vives
Víctor Muñoz Bruna
Rodrigo Elzo Rojas
Rodrigo Germán Bravo Orellana
Rodrigo Cuadra
Rodrigo Seguel
Cristian Fernández Morales
Cristian Quezada Ortega
Álvaro Latorre
Jorge Pino Marambio
Juan Pérez
David Olivares Rojas
Sebastián Rago
Paulo Saavedra
Fernano Javier Cubillos Andrade
Pablo Michel Khouri
Sergio Agustín Quiroz González
Leandro Cortés
Marco Antonio Echeverría Olivares
Pablo Andrés Soto Medel
Cristóbal Andrés Rogers Silva
90K - Varones Máster B2 (1965 a 1969)
3:59:39.6
3:59:41.4
4:02:06.0
4:06:22.5
4:06:47.3
4:07:00.5
4:09:51.1
4:10:04.3
4:13:38.9
4:14:45.2
4:14:48.0
4:16:18.5
4:17:34.0
4:18:50.1
4:19:37.0
4:20:52.3
4:22:03.1
4:27:04.6
4:28:45.5
4:30:11.9
4:30:15.0
4:30:15.4
4:33:46.1
4:38:00.9
4:38:14.5
4:44:12.3
4:44:12.4
4:44:33.2
4:54:19.8
4:55:44.1
4:57:58.4
4:59:20.9
4:59:43.6
5:01:55.4
5:02:26.8
5:02:36.5
5:03:44.7
5:04:41.9
5:10:47.3
5:11:29.8
5:12:02.0
5:15:46.7
5:17:54.4
5:20:14.7
5:20:15.8
5:25:07.2
5:30:19.0
5:36:41.7
5:38:56.6
5:39:49.6
5:49:04.4
6:21:14.0
6:24:27.0
6:25:17.0
6:26:33.0
7:00:30.0
121
123
141
152
154
156
168
169
188
190
193
202
209
210
214
220
223
233
239
251
252
253
262
277
280
297
298
301
328
336
342
347
348
353
354
357
360
364
376
380
384
395
400
409
410
412
423
435
438
440
446
469
472
475
477
491
111
113
126
136
138
140
150
151
169
171
174
182
188
189
193
198
201
210
215
226
227
228
236
250
253
269
270
273
298
305
310
315
316
321
322
325
327
330
341
345
348
359
363
371
372
373
383
394
397
398
403
424
426
428
429
442
Resultados DUE2014
Lugar
1
2
3
4
5
6
7
8
9
10
11
12
13
14
15
16
17
18
19
20
21
22
23
24
25
26
27
28
29
30
31
32
33
34
35
36
37
38
39
40
41
42
43
44
45
46
47
48
49
50
51
52
53
54
55
56
N°
9446
9398
9421
9407
9450
9432
9413
9436
9426
9418
9399
9396
9420
9414
9395
9444
9428
9394
9423
9443
9408
9440
9427
9419
9318
9411
9447
9429
9455
9438
9453
9403
9437
9412
9456
9454
9405
9417
9449
9441
9460
9404
9463
9461
9416
9410
9462
9431
9448
9422
9401
9452
9174
9406
9415
9435
Nombre Corredor
Tiempo
Alonso Pino Martínez
Mario Raúl Barrientos
José Luís García Olmedo
Francisco Carvallo
Ladislao Riveros
Pedro Marzolo
Mauro Díaz Molina
Marcelo Morales Villarroel
Darío González
Mauricio Fernando flores Vargas
Hernán Benavides
Christian Aroca Bozzo
Luís Garay
Michael Dumke
Víctor Anríquez Jara
Héctor Paul
Héctor Hormazábal
José Alfredo Alarcón Cid
Renato Gana Gómez De La Torre
Bernardo Claudio Parra Aspee
Maximiliano Chávez
Juan Ortíz Ceballos
Jorge Herrera López
Daniel Galarce
Rigoberto Caro
José Marco Cuminao Cea
Dagoberto Pinto Candia
Danilo Kusanovic Glusevic
Marcelo Roa
Rodrigo Javier Orellana Espinoza
Héctor Soto Saldivia
Luís Cabrera
Luís Olave Sotomayor
Carlos Óscar Damelio
Nelson Tapia
Rocardo Sramek
José Canumán
Daniel Feldman
Luís Hernán Reyes Garrido
Pedro Pablo Oyola Díaz
José Antonio Vidal Álvarez
Antonio Cabrera
Marco Zúñiga
Salvador Villarino
Sergio Espinoza
Marcelo Cordero García
Juan Pablo Zapata Gómez
Calestino Márquez
Axel Prado
Henry García Torres
Leonardo Bustamante
Alfonso Juan Silva Meza
Fernando Dietert
Hernán Carmona
Carlos Javier Echeverría Olivares
Rodolfo Montoya
3:44:22.4
3:44:44.2
3:46:00.6
3:47:44.3
3:48:13.5
3:50:35.1
3:57:55.6
3:58:01.5
3:58:29.4
4:01:03.0
4:01:16.3
4:01:31.9
4:11:58.9
4:13:27.1
4:14:46.8
4:14:55.4
4:17:03.6
4:18:53.4
4:20:08.9
4:21:55.5
4:28:28.0
4:29:08.9
4:32:36.1
4:33:49.9
4:34:31.4
4:37:43.0
4:37:57.9
4:41:31.4
4:41:55.0
4:44:17.0
4:46:24.4
4:50:14.7
4:52:40.7
4:54:16.2
4:54:19.1
4:55:15.1
4:56:26.6
4:58:04.7
5:03:58.4
5:04:33.8
5:06:10.8
5:19:32.5
5:26:23.5
5:28:45.1
5:29:04.9
5:30:07.5
5:33:30.9
5:38:45.0
5:46:51.0
5:49:06.9
5:54:10.0
6:01:14.0
6:04:53.0
6:24:14.0
6:24:27.0
6:38:34.0
Clasificación Clasificación
General
Género
62
58
66
61
72
65
81
71
83
73
88
78
114
104
115
105
118
108
133
119
135
121
136
122
181
162
186
167
191
172
195
176
208
187
212
191
216
194
222
200
237
213
244
219
259
233
263
237
265
239
274
247
276
249
287
259
288
260
299
271
307
279
315
286
322
292
325
295
327
297
332
301
339
308
343
311
362
328
363
329
367
333
406
368
413
374
418
378
420
380
422
382
428
388
437
396
445
402
447
404
449
405
454
409
460
415
471
425
473
427
489
440
Resultados DUE2014
90K - Varones Máster C1 (1960 a 1964)
Lugar
N°
1
2
3
4
5
6
7
8
9
10
11
12
13
14
15
16
17
18
19
20
21
22
23
24
25
26
27
28
29
30
31
32
33
34
35
36
37
38
39
9493
9507
9471
9468
9484
9472
9605
9464
9499
9489
9475
9488
9469
9483
9097
9500
9478
9506
9480
9503
9498
9502
9470
9495
9476
9509
9477
9474
9482
9497
9501
9494
9486
9496
9491
9465
9473
9508
9479
Nombre Corredor
Tiempo
Antonio Silvan Quintana
Héctor Villalva
Víctor Cabello
Luís Ávila
Heriberto Hurtado Díaz
Jorge Camelio
Marcos Antonio Ortiz Vallejos
Heriberto Aburto
Ricardo Juan Sanhueza Mancilla
Ángel Moncada Valenzuela
Orlando Aladino Casas
Juan Alejandro Matic Milicevic
Alejandro Andrés Baldini
Moisés Alejandro Figueroa San Martín
Jorge Diego Ugalde Yáñez
Manuel Sepúlveda Morales
Benito Contreras Oyarce
Patricio Francisco Villalón Alvial
Juan Pablo Donetch Odriozola
Gerardo Torres
Moisés Alejandro Rojas Núñez
Iván Stipicic
Alejandro Barros
Rossano Rivera
Juan Alfredo Castillo Castillo
Andrew Youlton
Gabriel Concha Garrido
Edgardo Manuel Cardenas
Ariel Farías
Eric Rodríguez
Luís Fernando Solís roa
Héctor Ríos Pavez
Luís Eduardo Lobos Retamal
Rodrigo Robles Galaz
Pozo, Armando
Antonio Ahumada Lira
Ítalo Camilla
Marco Villarroel
Darwin Contreras Quintrel
3:22:53.2
3:27:02.8
3:39:18.7
3:41:01.6
3:50:02.2
3:59:52.3
4:01:52.3
4:05:32.2
4:08:31.9
4:10:34.9
4:15:28.1
4:15:35.7
4:16:52.3
4:20:25.7
4:23:55.7
4:27:45.0
4:28:52.8
4:31:42.8
4:32:25.9
4:32:42.9
4:33:49.9
4:35:30.2
4:36:37.1
4:49:14.5
4:55:35.0
5:02:34.7
5:03:42.8
5:07:35.5
5:09:18.6
5:11:04.0
5:11:31.1
5:19:29.1
5:19:41.2
5:36:39.6
5:44:48.0
6:03:11.0
6:10:46.0
6:16:04.0
6:37:15.0
Clasificación Clasificación
General
Género
21
20
27
24
50
46
51
47
86
76
125
115
138
123
148
133
162
146
170
152
197
178
199
180
204
183
218
196
227
205
236
212
240
216
257
231
258
232
260
234
264
238
268
241
270
243
311
282
335
304
356
324
359
326
369
335
372
338
378
343
381
346
405
367
407
369
434
393
443
401
457
412
466
421
467
422
488
439
90K - Varones Máster C2 (1955 a 1959)
Lugar
1
2
3
4
5
6
7
8
9
10
11
12
13
N°
9523
9516
9510
9527
9528
9515
9521
9525
9526
9529
9517
9522
9524
Nombre Corredor
Tiempo
Heriberto Ricardo Pruneda Guerrero
Julio Contreras
Ricardo Alvarado Díaz
Sergio Valencia
Francisco Varas
José Carmona
Alexis Mc Lennan Muñoz
Guillermo Rojas Tejeda
Juan Torres
Francisco Vera
Enrique Garín Ahumada
Mario Ñanculef Carrasco
Víctor Hugo Rojas Osses
3:55:05.0
3:56:56.7
3:56:56.8
4:11:58.2
4:45:25.8
4:52:16.4
4:59:04.3
5:07:53.6
5:11:33.3
5:12:12.1
5:14:57.6
5:31:42.6
5:33:50.3
Clasificación Clasificación
General
Género
108
98
112
102
113
103
180
161
304
276
321
291
346
314
370
336
383
347
385
349
392
356
425
385
430
389
Resultados DUE2014
14
15
16
17
9513
9512
9511
9518
Moisés Arriagada
José Domingo Aracena Flores
Luís Eduardo Antero Peralta
Enrique Hernández
5:34:54.3
6:00:33.0
6:01:20.0
6:06:44.0
432
452
455
463
391
407
410
418
90K - Varones Máster D1 (1950 a 1954)
Lugar
N°
1
2
3
4
5
9535
9536
9532
9533
9531
Nombre Corredor
Tiempo
Luís Ojeda
Nelson Urizar Rojas
Luís M.A Campos Sepúlveda
Rubén Elgueta
Luís Cabalin Bravo
3:39:17.9
4:06:58.0
4:23:23.8
4:42:21.0
5:15:19.8
Clasificación Clasificación
General
Género
49
45
155
139
226
204
289
261
394
358
90K - Varones Máster D2 (1945 a 1949)
Lugar
N°
1
2
Nombre Corredor
9538 Jorge Sánchez Benito
9537 Gerardo Bastías
Tiempo
4:29:43.0
6:04:05.0
Clasificación Clasificación
General
Género
248
223
459
414
90K - Varones Máster E (1944 y anteriores)
Lugar
N°
1
2
Nombre Corredor
9540 Ramón Gómez-Atienza De Lis
9539 Jaime Bunzli
Tiempo
4:24:01.7
5:14:27.1
Clasificación Clasificación
General
Género
228
206
390
354
Resultados DUE2014
50K - Damas Junior (1996 a 1999)
Lugar
N°
1
2
3
Nombre Corredor
5001 Valentina Natalia Avendaño Oyarzún
5002 Katherine Hermosilla
5003 María Jesús Meneses
Clasificación Clasificación
General
Género
2:51:20.0
189
29
3:45:56.8
258
55
3:58:55.5
262
58
Tiempo
50K - Damas Promocional (Novicios)
Lugar
1
2
3
4
5
6
7
8
9
10
11
12
13
14
15
16
17
18
19
20
21
22
23
24
25
26
27
28
29
30
31
32
33
34
35
36
37
38
39
40
41
42
43
44
45
46
47
48
49
N°
5013
5053
5067
5048
5038
5057
5009
5066
5027
5026
5007
5040
5042
5022
5033
5008
5035
5029
5054
5052
5063
5049
5056
5043
5041
5045
5061
5004
5020
5016
5062
5065
5030
5028
5014
5031
5060
5023
5021
5047
5019
5005
5069
5018
5015
9638
5037
5055
5012
Nombre Corredor
Tiempo
Bárbara Cárdenas
Mónica Rosana Ruíz
Carolina Zambrano
Catherine Rivera Arenas
Oriana Alejandra Muñoz Venegas
Daniela Tapia
Carolina Caipillán
María Eugenia Yousuff Henríquez
Francisca Kirsten Boher
Carolina Herrera
Daisy del Carmen Becerra Valenzuela
Katherine Nergard
Bernardita Ortiz Landaeta
María Elisa Grillo
Natalia Mansilla
Macarena Del Pilar Busquet
María Isabel Martínez
María Teresa Latorre Oyanadel
Francisca Saldivia Salazar
Natalia Rubilar
Vanessa Vera
María Ignacia Rocuant
Carola Sanhueza
Lorena Osorio Donoso
Érika Obreque
Isabel Paz Ingrid Pérez Leiva
Marcia Vargas
Nancy Ayaquintuy
Gabriela Garrido
Rosmarie Dietert Mladinic
Sandra Velásquez
Paulina Villena
María Eugenia Livacic
Vanney Patricia Lara Quintana
Marisol Cárdenas Barrientos
Susana Andrea López Andrade
Geraldine Vanessa Valencia Galindo
Francis Guerra Hernández
Marcela González Costa
Gladys Riquelme
Andrea Fernández-niño
Daniela Barahona Cuevas
Carolina Zúñiga
Katherine Fernández Manríquez
Elizabeth Solange Casanova
Sandra Callejas
Valentina Muñoz
Paola San Martín Diaz
Paulina Cancino
2:09:18.6
2:10:44.0
2:11:54.2
2:13:20.8
2:17:55.0
2:21:44.4
2:22:31.4
2:26:56.4
2:27:11.9
2:28:48.1
2:30:39.2
2:30:58.0
2:31:24.7
2:31:35.9
2:33:36.5
2:34:14.9
2:35:10.3
2:35:14.3
2:36:55.4
2:38:02.9
2:39:32.5
2:40:32.9
2:41:45.9
2:43:41.8
2:44:04.6
2:50:11.8
2:50:51.5
2:51:14.8
2:51:42.5
2:54:02.7
2:56:23.4
2:57:26.0
2:59:47.1
3:00:53.2
3:01:21.2
3:01:48.3
3:07:49.1
3:08:46.9
3:09:07.4
3:13:57.3
3:15:23.9
3:15:25.3
3:16:24.6
3:19:33.9
3:19:34.4
3:22:54.8
3:25:24.3
3:27:03.3
3:33:09.2
Clasificación
General
36
43
48
57
73
84
88
104
109
112
120
123
124
125
137
139
142
143
149
152
154
160
164
169
170
185
186
187
191
196
199
200
204
208
209
211
219
220
221
227
228
229
230
234
235
237
240
244
246
Clasificación
Género
1
2
3
4
5
6
7
8
9
10
11
12
13
14
15
16
17
18
19
20
21
22
23
24
25
26
27
28
30
31
32
33
34
35
36
37
38
39
40
41
42
43
44
45
46
47
48
49
50
Resultados DUE2014
50
51
52
53
54
55
56
57
58
59
60
61
5064
5011
5025
5068
5059
5034
5006
5058
5024
5051
5044
5206
Macarena Vilches
Leonor Canales
Pricila Henríquez
Jeannette Zapata Martínez
Jéssica Ulloa
Valentina Javiera Mansilla Canales
Ana Barría
Tatiana Testa
Joccelyne Henríquez
Tamara Romero
Elizabeth Oyarzún Jeldes
Lilian Fernández
3:33:47.3
3:36:21.8
3:40:13.6
3:43:29.1
3:51:07.9
3:53:36.1
4:02:59.6
4:09:45.0
4:12:05.1
4:15:53.7
4:38:09.0
5:06:13.0
248
250
252
253
260
261
264
265
266
267
268
269
51
52
53
54
56
57
59
60
61
62
63
64
50K - Varones Intermedia (1998 a 1999)
Lugar
N°
1
2
3
4
5
6
5072
5073
5076
5075
5070
5074
Nombre Corredor
Tiempo
Fernando Barrientos
Tomás Cárdenas
Allan Mac Donald
Rodrigo Forneron
Camilo Ignacio Alarcón Aburto
Jorge Ignacio Collao González
1:45:59.2
1:47:12.0
1:55:47.6
1:58:51.2
2:01:44.0
3:28:50.4
Clasificación
General
Clasificación
Género
1
2
11
15
20
245
1
2
11
15
20
196
50K - Varones Juvenil (2000 a 2001)
Lugar
N°
1
2
3
4
5
5081
5077
5079
2114
5080
Nombre Corredor
Tiempo
Rodolfo Nicolás Rogel San Román
Emilio Damiano Crema Bonacic
Stefano Margoni Mohamed
Luís Alberto Díaz Varela
Juan José Prieto
1:49:11.5
1:52:06.0
2:14:13.3
2:20:17.9
2:22:36.3
Clasificación
General
Clasificación
Género
4
7
59
78
90
4
7
55
73
83
50K - Varones Promocional (Novicios)
Lugar
1
2
3
4
5
6
7
8
9
10
11
12
13
14
15
16
17
18
19
20
21
22
23
N°
5099
5197
5239
5223
5106
9649
5205
5224
5188
9541
5176
9202
5253
5187
5096
5186
5140
5225
5248
5153
5093
5265
5089
Nombre Corredor
Tiempo
Paulo Bahamonde
Cristian Montino Chávez
Hernán Pérez
Antonio Opazo
Luís Andrés Bradasic
Edgardo Marcelo Alvarado Márquez
Juan Antonio Muñoz Inostroza
César Samuel Órdenes Cabeza
Antonio Marínovic Casanova
Francisco Páez
César Lombroni
Anibal Cayo
Enrique Romero Silva
Mauricio Marín Caihuan
Luís Maciel
Jorge Mauricio Mansilla Miranda
Dimo Farfán
César Ovando Zapata
Juan Patricio Rodríguez Cuestas
Jordan Godoy
Hugo Mauricio Antiñanco
José Gabriel Tolaba
Esteban Almonacid
1:47:25.0
1:49:22.8
1:51:52.1
1:52:14.7
1:52:54.9
1:55:26.8
1:56:38.1
1:57:08.8
1:57:08.8
1:59:43.1
2:00:15.3
2:00:28.0
2:01:01.2
2:01:51.8
2:02:34.8
2:02:35.0
2:02:53.7
2:03:55.5
2:04:12.6
2:04:40.5
2:05:11.6
2:07:33.5
2:07:46.5
Clasificación
General
Clasificación
Género
3
5
6
8
9
10
12
13
14
16
17
18
19
21
22
23
24
25
26
27
28
29
30
3
5
6
8
9
10
12
13
14
16
17
18
19
21
22
23
24
25
26
27
28
29
30
Resultados DUE2014
24
25
26
27
28
29
30
31
32
33
34
35
36
37
38
39
40
41
42
43
44
45
46
47
48
49
50
51
52
53
54
55
56
57
58
59
60
61
62
63
64
65
66
67
68
69
70
71
72
73
74
75
76
77
78
79
80
81
82
5017
5170
5094
5221
5203
5092
5273
5126
5209
5141
5168
5142
5227
9650
5086
5112
5235
5147
5102
5261
5180
5249
5260
5195
5232
5185
5178
5103
5179
5039
5113
5171
5010
5191
5144
5237
5097
5143
5082
5243
5146
5159
5169
5271
5219
5111
5107
5257
5272
5250
5032
5244
5194
5280
5208
5134
5165
9641
5177
Raúl Eduardo Paredes Reyes
Rodrigo José Herrera Huenul
Juan Araya
Sergio Olmedo
Dusan Muñoz
Matías Exequiel Álvarez
Iván Vásquez
Marcelo Cortés Armijo
Óscar Navarro Cárdenas
Paulo César Ferrada Venegas
Jorge Hernández
Jorge Figueroa Fuentes
Diego Páez Albano
Cristian Waelder
Marco Andrés Águila Hernández
José Fernando Cardozo Orellano
Héctor Pérez Barrientos
Milivoy García
Daniel Beratto Soto
Sergio Eduardo Soto Bórquez
Roberto Mac Donald
Mauricio Rojas
Christopher Sepúlveda Varela
Andrés Felipe Molina López
Roberto Ariel Peralta
Humberto Manríquez Barría
José Luís López Molnar
Iván Beros
Sergio Lucero Pastrian
Alex Vilches
Carlos Alberto Godoy
José Iván Honores Caroca
Leopoldo Quintano Hartard
Juan Mella
Sandro Frías
Héctor Pérez Díaz
Ronald Aros Jerez
Víctor Andrés Flores Martínez
Nicolás Abuhadba
Carlos Riquelme Cuevas
Luís Gaete
Rodrigo González
Jaime Andrés Hernández Cambiaso
José Ignacio Valenzuela
Jorge Oliva Ortega
Alejandro Álamo Cárdenas Aro
Rodrigo Cristopher Bustos Acevedo
Marcelo Sánchez Figueroa
Miguel Varela
Carlos Michael Rojas Brizuela
Javier Vivar
Cristian Rivera Arenas
José Patricio Miranda Cárdenas
Luís Felipe Vergara
Cristian Naretto Boke
Alfonso Echeverría Yáñez
Hans Von Marttens
Carlos Wong Un
Marcelo Fernando López
2:07:54.3
2:08:24.6
2:08:26.0
2:09:06.4
2:09:07.0
2:09:20.7
2:09:26.8
2:09:34.9
2:09:55.4
2:10:12.7
2:10:28.7
2:11:05.2
2:11:11.8
2:11:19.3
2:11:35.1
2:11:55.8
2:12:11.2
2:12:12.5
2:12:16.8
2:12:26.2
2:12:29.6
2:12:41.2
2:13:03.6
2:13:43.6
2:14:32.6
2:14:36.1
2:15:43.1
2:15:51.8
2:16:10.3
2:16:20.1
2:16:21.6
2:16:42.9
2:17:28.0
2:17:31.0
2:17:32.5
2:17:38.0
2:17:43.7
2:17:56.3
2:18:32.2
2:18:51.5
2:19:51.2
2:20:20.6
2:20:39.9
2:20:50.0
2:21:13.3
2:21:38.4
2:22:01.2
2:22:05.2
2:22:24.9
2:22:34.4
2:22:39.7
2:23:27.2
2:24:01.8
2:24:14.7
2:24:32.7
2:24:33.3
2:24:39.5
2:25:10.9
2:25:16.6
31
32
33
34
35
37
38
39
40
41
42
44
45
46
47
49
50
51
52
53
54
55
56
58
60
61
62
63
64
65
66
67
68
69
70
71
72
74
75
76
77
79
80
81
82
83
85
86
87
89
91
92
93
94
95
96
97
98
99
31
32
33
34
35
36
37
38
39
40
41
42
43
44
45
46
47
48
49
50
51
52
53
54
56
57
58
59
60
61
62
63
64
65
66
67
68
69
70
71
72
74
75
76
77
78
79
80
81
82
84
85
86
87
88
89
90
91
92
Resultados DUE2014
83
84
85
86
87
88
89
90
91
92
93
94
95
96
97
98
99
100
101
102
103
104
105
106
107
108
109
110
111
112
113
114
115
116
117
118
119
120
121
122
123
124
125
126
127
128
129
130
131
132
133
134
135
136
137
138
139
140
141
5129
5162
5151
5167
5127
5229
5138
5247
5150
5139
5190
5228
5259
5124
5172
5267
5125
9644
5220
5108
5251
5263
5215
5184
5210
5216
5200
5262
5189
5218
5098
5117
5242
5198
5166
9640
5174
9645
5175
5173
5230
5181
5238
5236
5233
5207
5183
5132
5136
5095
5149
5137
5121
5133
5279
5270
5130
5163
5226
Alberto Damianovic
Fernando González Alcaíno
Álvaro García Toledo
Francisco Javier Guajardo Guzmán
José Covarrubias Torres
Alfonso Paredes Reyes
José Luís Espicel Méndez
José Ignacio Rodríguez
William García Lavanderos
Hernán Manuel Espinosa Jiménez
Alfredo Patricio Medrano De La Fuente
Andrés Alejandro Paredes Reyes
Luìs Alberto Villarroel
Ernesto Cortés
Sebastián Andrés Iñiguez Robles
Freddy Ulloa
Alexis Cortés
Gerardo Zamorano
Falconery Oliveros
Pedro Campusano Araya
Nelson Antonio Rojas Moraga
Iván Fernando Soto Velásquez
Víctor Alejandro Ojeda Cárdenas
Francisco Mallagaray
Mario Navia
Marco Aurelio Ojeda Strauch
Rodrigo Moran
Álvaro Andrés Soto Bórquez
José Mayorga
Jaime Roberto Olguín Olavarría
Juan Carlos Arriagada Elgueta
Hernán Castillo Zúñiga
Marcelo Reveco Carrasco
Felipe Roberto Moraga Figueroa
Daniel Alonso González Urbina
Carlos Millán
Andrés Letelier
Álvaro René Muñoz Sepúlveda
Francisco David Lizana Cruz
Manuel Humberto Iturrieta Fernández
Daniel Paris
Mario Maldonado
Eric Poblete Fernández
Cristian Pérez Broncheur
Jaime Pereira
Néstor Muñoz Vásquez
Gonzalo Mallagaray
Francisco Díaz Luengo
Ricardo Escobar Ruiz
Alonso Araya Allendes
Víctor Gundemaro García Fernández
José Ignacio Espicel Biott
Javier Collao Just
Enrique Fernando Donoso Bejares
Javier Vera Álvarez
Víctor Octavio Utreras Cárdenas
Gonzalo Alfredo Díaz
Freddy González Galleguillo
Juan Oyarzo
2:25:48.2
2:26:03.9
2:26:50.0
2:26:53.3
2:26:57.8
2:27:01.5
2:27:06.6
2:27:07.7
2:27:51.7
2:28:20.1
2:29:07.7
2:29:22.0
2:29:29.3
2:29:39.5
2:29:51.7
2:30:31.5
2:30:35.0
2:30:41.7
2:30:48.0
2:31:37.9
2:31:47.2
2:32:01.7
2:32:03.5
2:32:10.7
2:32:10.7
2:32:10.9
2:32:13.8
2:32:27.0
2:32:39.4
2:33:20.1
2:33:43.8
2:34:15.1
2:34:44.8
2:35:14.5
2:35:17.8
2:35:35.2
2:36:52.8
2:36:53.7
2:37:38.5
2:37:48.6
2:38:50.3
2:39:34.8
2:40:06.6
2:40:12.6
2:40:24.9
2:40:30.1
2:41:26.9
2:41:35.4
2:41:40.6
2:42:02.4
2:42:15.2
2:43:00.0
2:43:40.2
2:44:12.4
2:44:15.3
2:44:58.9
2:45:01.5
2:45:50.1
2:45:57.8
100
101
102
103
105
106
107
108
110
111
113
114
115
116
117
118
119
121
122
126
127
128
129
130
131
132
133
134
135
136
138
140
141
144
145
146
147
148
150
151
153
155
156
157
158
159
161
162
163
165
166
167
168
171
172
173
174
175
176
93
94
95
96
97
98
99
100
101
102
103
104
105
106
107
108
109
110
111
112
113
114
115
116
117
118
119
120
121
122
123
124
125
126
127
128
129
130
131
132
133
134
135
136
137
138
139
140
141
142
143
144
145
146
147
148
149
150
151
Resultados DUE2014
142
143
144
145
146
147
148
149
150
151
152
153
154
155
156
157
158
159
160
161
162
163
164
165
166
167
168
169
170
171
172
173
174
175
176
177
178
179
180
181
182
183
184
185
186
187
188
189
190
191
192
193
194
5135
5110
5114
5087
5109
5100
5088
5222
5266
5241
5122
5245
5246
9647
5264
5160
5202
5161
5145
5214
5217
5131
5278
5104
9648
5123
5156
5182
5212
5256
9636
9430
5115
5234
5164
5116
5148
5211
5119
5204
5240
5128
5258
5199
5276
9277
5277
5152
5083
5084
5085
5193
5192
Eliceo Contreras Sáe
Álvaro Carboni
Pedro Villalobos Bastías
Abner Gerardo Agurto Vidal
Álvaro Canelo Barra
Rodolfo Barra
Cristian Aldayuz González
Leonardo Olsen
Braulio Torres Pinto
Carlos Puga
Jorge Concha Miranda
Roa, Juan Carlos Jr Roa
Juan Carlos Roa
David González
Jan Stillfried
Cristofer González
Patricio Wagner Contreras
Diego González
Jorge Fuentes Gómez
Claudio Ojeda
Claudio Ojeda Strauch
Luís Díaz Coñuecar
Óscar Vera
Rodrigo Beytia
Paulo Jerez
Claudio Andrés Contreras Bahamondes
Francisco Gómez
Leonardo Maldonado Vásquez
Carlos Alfredo Ogaz Olguín
Patricio Sáez
Jorge Ernesto Pino Moreno
Juan Carlos Tapia
Leopoldo Marcelo Carrasco Sepúlveda
Claudio Pérez Adaros
Osvaldo René González García
José Hernán Carvajal Ayala
Jorge Bernardo García Estrada
Clemente Norambuena
Fernando Javier Cerda Valdebenito
Héctor Muñoz Arellano
Rodrigo Pruneda
Rafael Gabriel Cubillos Ponce
Rodrigo Sandoval
Osmar Alonso Moraga Jara
Francisco Velásquez M.
Marcelo Moya Jiménez
Eduardo Veliz Valenzuela
Miguel Ángel Garrido De La Vega
Diego Adrián Águila
Cristian Javier Águila
Alfonso Javier Águila
René Miguel Meneses Fierro
Rodrigo Antonio Meneses Bermudez
2:45:58.0
2:46:09.8
2:46:32.2
2:48:09.2
2:48:57.0
2:49:08.0
2:49:15.3
2:49:19.9
2:51:17.8
2:51:36.9
2:52:11.7
2:53:25.9
2:53:26.0
2:54:01.5
2:54:03.2
2:56:02.1
2:57:26.4
2:57:26.9
2:57:31.9
3:00:19.4
3:00:20.1
3:00:26.3
3:01:38.3
3:02:03.4
3:02:20.7
3:02:55.7
3:04:23.9
3:05:15.2
3:05:37.6
3:07:39.7
3:10:52.6
3:12:13.6
3:13:41.5
3:13:46.1
3:13:53.4
3:17:23.4
3:18:36.8
3:19:28.4
3:20:49.1
3:23:52.3
3:24:33.4
3:25:44.8
3:26:14.8
3:26:47.7
3:33:46.2
3:35:21.6
3:39:28.3
3:43:45.5
3:45:17.2
3:45:17.2
3:45:20.1
3:46:37.0
3:58:55.8
177
178
179
180
181
182
183
184
188
190
192
193
194
195
197
198
201
202
203
205
206
207
210
212
213
214
215
216
217
218
222
223
224
225
226
231
232
233
236
238
239
241
242
243
247
249
251
254
255
256
257
259
263
152
153
154
155
156
157
158
159
160
161
162
163
164
165
166
167
168
169
170
171
172
173
174
175
176
177
178
179
180
181
182
183
184
185
186
187
188
189
190
191
192
193
194
195
197
198
199
200
201
202
203
204
205
Resultados DUE2014
22K - Damas Infantil (2002 a 2003)
Lugar N°
1
2
3
Nombre Corredor
2001 Susan Teresita Guarda Soto
2002 Agustina Lira
2004 Maite Salazar
Tiempo
Clasificación
General
Clasificación
Género
46
22
50
25
60
32
Clasificación
General
Clasificación
Género
59:36.4
1:01:53.7
1:04:38.6
22K - Damas Recreacional (Novicios)
Lugar N°
1
2
3
4
5
6
7
8
9
10
11
12
13
14
15
16
17
18
19
20
21
22
23
24
25
26
27
28
29
30
31
32
33
34
35
36
37
38
39
40
41
42
43
44
45
2010
2034
2024
2042
2031
2048
2038
2029
2020
2022
2052
2054
2056
5046
2019
2018
2008
2116
2060
2053
2062
2027
2040
2063
2046
2030
2023
2115
2044
2021
2005
2015
2039
2055
2011
2009
2006
2013
2065
2016
2041
2032
2017
2014
2061
Nombre Corredor
Tiempo
Sandra Burgermeister
Daniela Alejandra Mercegué Alvarado
Rossana Loaiza Barría
Jéssica Pallahuala Uribe
Fernanda Melisenda
Esperanza Rodríguez
Viviana Andrea Navarro
Johana Mansilla Reyes
Camila Hernández Antiñanco
Ana María Huaiquian Silva
Alejandra Scott Palavicino
Carolina Serey
Carolina Soledad Soto Velásquez
Pamela Plaza
Adelina Godoy Mella
Loreto García
Javiera Barrientos
Tatiana Garrido
Claudia Ulloa Calderón
Milenka Antonia Seguish López
Natalia Velásquez
Adriana Macías Figueroa
Patricia Alejandra Olivera Ancaten
Ingrid Vera
Susana Quintanilla Villalobos
Belinda Maríncovich
Paola Lagos
Verónica Navarro
Coralie Parraguez
Javiera Herrera Orellana
Macarena Viviana Águila Hernández
Paula Cifuentes
Johana Olivares
Lorena Sierpe Guerrero
Yocelyn Bustamante
María Margarita Biott Ruiz
Elba Del Rosario Aguilar Barría
Angélica María Carrasco Gómez
Jéssica Villegas Andrade
Ana Codoceo
Dominga Oteiza
Patricia Mena Meneses
Paola Franco Lasners
Carolina Cepeda,
Paula Vargas
46:22.5
47:34.4
47:43.1
49:02.0
49:10.0
49:12.4
49:27.6
51:16.3
51:22.7
53:11.4
53:50.4
54:19.7
54:27.1
54:27.2
56:07.4
57:13.3
57:41.2
58:47.7
58:53.0
59:13.9
59:36.2
1:00:18.0
1:01:20.1
1:02:02.8
1:02:09.0
1:02:31.6
1:02:33.4
1:02:48.4
1:03:58.8
1:05:14.6
1:06:00.2
1:08:11.2
1:09:56.7
1:10:37.6
1:11:18.4
1:11:18.5
1:11:34.4
1:11:57.5
1:16:47.1
1:20:19.5
1:21:46.0
1:21:52.2
1:23:42.2
1:24:45.9
1:35:10.4
8
10
11
15
16
17
18
22
23
25
27
29
32
33
37
39
40
42
43
44
45
48
49
52
53
55
56
57
58
62
63
65
66
68
69
70
71
72
73
75
76
77
78
79
81
1
2
3
4
5
6
7
8
9
10
11
12
13
14
15
16
17
18
19
20
21
23
24
26
27
28
29
30
31
33
34
35
36
37
38
39
40
41
42
43
44
45
46
47
48
22K - Varones Infantil (2002 a 2003)
Lugar N°
Nombre Corredor
Tiempo
Clasificación
General
Clasificación
Género
Resultados DUE2014
1
2
3
4
5
6
7
2070
2069
2074
2073
2066
2072
2068
Matías Lorca Scott
Samuel Lizana
Benjamín Lorenzo Villalón Muñoz
Felipe Velásquez
Martín Ignacio Bahamonde Aguilar
Manuel Soto
Vicente Hernández Antiñanco
50:35.0
53:42.7
53:56.4
55:11.2
55:15.2
55:30.8
1:00:14.0
19
26
28
34
35
36
47
12
16
17
20
21
22
25
22K - Varones Recreacional (Novicios)
Lugar N°
1
2
3
4
5
6
7
8
9
10
11
12
13
14
15
16
17
18
19
20
21
22
23
24
25
26
2106
2105
2101
2076
2075
2107
2096
2095
2112
2099
2089
2086
2077
2104
2092
2090
2087
2088
2079
2085
2094
2100
2080
2102
2110
2083
Nombre Corredor
Tiempo
Roberto Carlos Uribe Martínez
Juan Unquen Ulloa
Mario Javier Saldivia Cheuqueman
Tulio René Andrade Velásquez
Rodrigo Fabián Almonacid Navarro
Sebastián Vargas
Diego Vargas
Luís Paredes Ojeda
Cristian Zúñiga
Gonzalo Rodríguez Macías
César Millao Vera
Rodrigo Lorca Hussey
Rodrigo Araneda
Antonio Torres Barrientos
Marco Ojeda
Raúl Miranda Paredes
Hugo Mazuelos
Néstor Rodolfo Mazzon
Milton Alexis Carrasco Alarcón
Félix Lara
Víctor Oyarzo
Rodrigo Salazar
Aliro Castro Urzúa
Marcelo Salinas
Lucas Zamorano Zuleta
Juan Erices
41:20.3
41:54.3
42:37.0
43:32.5
44:03.6
45:45.4
46:15.1
46:57.9
48:07.2
48:18.6
48:41.6
50:35.9
50:59.8
51:27.3
54:24.2
54:25.8
56:12.9
57:52.0
1:02:00.5
1:02:10.8
1:04:00.2
1:04:38.8
1:07:39.9
1:10:09.9
1:18:18.2
1:24:46.4
Clasificación
General
Clasificación
Género
1
2
3
4
5
6
7
9
12
13
14
20
21
24
30
31
38
41
51
54
59
61
64
67
74
80
1
2
3
4
5
6
7
8
9
10
11
13
14
15
18
19
23
24
26
27
28
29
30
31
32
33